فیلتر شنی – شرکت زيست آب پژوهش ®| پکیج تصفیه فاضلاب | شرکت تصفیه فاضلاب | تصفیه آب https://raymongroup.ir تصفیه فاضلاب، پکیج تصفیه فاضلاب، تصفیه آب، اسمز معکوس Mon, 03 Aug 2020 11:42:21 +0000 fa-IR hourly 1 https://wordpress.org/?v=6.8.3 https://raymongroup.ir/wp-content/uploads/2020/05/cropped-zistab-32x32.png فیلتر شنی – شرکت زيست آب پژوهش ®| پکیج تصفیه فاضلاب | شرکت تصفیه فاضلاب | تصفیه آب https://raymongroup.ir 32 32 واردکننده فیلتر شنی ایمکس و هایوارد https://raymongroup.ir/%D9%81%DB%8C%D9%84%D8%AA%D8%B1-%D8%B4%D9%86%DB%8C-%D8%B5%D8%A7%D9%81%DB%8C-%D8%B4%D9%86%DB%8C/?utm_source=rss&utm_medium=rss&utm_campaign=%25d9%2581%25db%258c%25d9%2584%25d8%25aa%25d8%25b1-%25d8%25b4%25d9%2586%25db%258c-%25d8%25b5%25d8%25a7%25d9%2581%25db%258c-%25d8%25b4%25d9%2586%25db%258c https://raymongroup.ir/%D9%81%DB%8C%D9%84%D8%AA%D8%B1-%D8%B4%D9%86%DB%8C-%D8%B5%D8%A7%D9%81%DB%8C-%D8%B4%D9%86%DB%8C/#respond Sat, 25 Jul 2020 01:25:57 +0000 https://raymongroup.ir/?p=4464 فروش فیلتر شنی دستگاه فیلتر شنی استخر با فیلتراسیون آب باعث حذف کدورت و ذرات معلق موجود در آب می‌شود. فیلتراسیون شنی یکی از فرآیندهای اساسی در جداسازی مواد جامد معلق از آب می‌باشد.  اثر عبور آب از بستر شنی ، ذرات معلق آب بین ذرات شن و ماسه گیر کرده و آب تقریباً عاری […]

نوشته واردکننده فیلتر شنی ایمکس و هایوارد اولین بار در شرکت زيست آب پژوهش ®| پکیج تصفیه فاضلاب | شرکت تصفیه فاضلاب | تصفیه آب. پدیدار شد.

]]>
فروش فیلتر شنی

دستگاه فیلتر شنی استخر با فیلتراسیون آب باعث حذف کدورت و ذرات معلق موجود در آب می‌شود. فیلتراسیون شنی یکی از فرآیندهای اساسی در جداسازی مواد جامد معلق از آب می‌باشد.  اثر عبور آب از بستر شنی ، ذرات معلق آب بین ذرات شن و ماسه گیر کرده و آب تقریباً عاری از مواد معلق و کدورت، به دست می‌آید. فیلترهای شنی تحت‌فشار با استفاده از بستر خود به‌منظور حذف آلودگی‌های موجود در آب بکار گرفته می‌شوند. این آلودگی‌ها توسط بستر فیلترها جذب می‌شود. برای اطلاع از لیست قیمت فیلتر شنی با ما تماس بگیرید. گروه صنعتی رایمون تامین کننده انواع فیلتر شنی ایمکس Emaux، هایوارد Hayward و…

کاربردهای فیلتر شنی:

مزایای فیلتر شنی گروه صنعتی رایمون:

• تصفیه در زمان کوتاه

• هزینه کم نگه داری

• هزینه اولیه پایین و اقتصادی

• نصب آسان و نیاز به فضای کم جهت بهره برداری

شست و شوی معکوس یا همان پس شویی در فیلتر شنی به سادگی و از طریق برگشت جریان آب استخر صورت می‌گیرد. بدین صورت که با عبور بالعکس جریان از پایین به سمت بالای فیلتر شنی، مواد زائدی که در بین شن‌های فیلتر، گیر کرده است به فاضلاب انتقال می‌یابد. زمان مناسب برای بکواش با توجه به یکی از این مشخصه‌ها تعیین می‌گردد: نوع آب، غلظت مواد معلق جامد، روغن و چربی موجود، نسبت BOD/COD و میزان آهن. طبقه‌بندی و چینش سنگ‌ها به‌گونه‌ای انجام می‌پذیرد که ذرات درشت در ابتدای بستر و ذرات کوچک‌تر آلودگی در عمق پایین‌تر فیلتر می‌شود.

مشخصات فیلترشنی زیست آب پژوهش:

فیلترهای شنی شرکت زیست آب پژوهش به‌منظور جداسازی ذرات جامد معلق به‌کاربرده می‌شود. این فیلترها در استخرهای شنا و فرآیندهای صنعتی استفاده شده و به قطر مشخص از جنس ورق فولادی ST-37 (و یا گالوانیزه) ساخته می‌شوند. این نوع از فیلترها مجهز به دیفیوزهای گالوانیزه در قسمت فوقانی بوده که آب را برای تصفیه بهتر بر روی بستر شنی روی فیلتر پخش می­کنند.

  • دارای ۳ لایه پوشش ضد خوردگی به ضخامت ۲۵۰ تا ۴۰۰ میکرون شامل zinc rich، epoxy mio، polyurethane
  • استفاده از پوشش فایبرگلاس (FRP) برای نواحی دارای رطوبت بالا و آبهای دارای خورندگی
  • ساخته شده در سه نوع دستی، نیمه اتوماتیک و تمام اتوماتیک.
  • طراحی ویژه بر اساس نوع آب
  • فشار کاری ۳ تا ۷ بار
  • فشار تست ۱۰ بار.

برای آگاهی بیشتر در مورد قیمت فیلتر شنی و مشاوره در مورد طراحی و محاسبه فیلتر شنی و جزئیات ساخت و نصب این سیستم تصفیه آب می توانید با کارشناسان ما تماس حاصل کنید.

۰۲۱-۴۴۱۷۹۴۵۵

استاندارد ساخت فیلتر شنی:

در ساخت تانک فیلترهای شنی از استاندارد ASME Sec VIII,Div. 1 استفاده شده است.

فرآیند جوشکاری فیلتر شنی:

عملیات جوشکاری با استفاده از ابزار ISBU ساخت کشور سوئد انجام می‌پذیرد. پس از ساخت تانک، بدنه تانک با استفاده از روش جوشکاری زیر پودری به دو سر آن متصل می‌گردد. همچنین جوشکاری در سطح داخلی و خارجی سر تانک انجام می‌پذیرد که این عمل طول عمر و مقاومت این بخش را افزایش می‌دهد.

فرآیند بکواش فیلتر شنی:

فیلترهای شنی زیست آب پژوهش مجهز به شیرهای موردنیاز سیستم بکواش بوده و در مواقع موردنیاز، انجام عملیات بکواش امکان‌پذیر است.

زمانی که فیلتر مقدار زیادی از خاک را انباشته می‌کند فشار افت کرده و آب نمی‌تواند آزادانه از فیلتر خارج شود. شست و شوی معکوس آب را به عقب می‌فرستد تا از طریق فیلتر گردوخاک به دام افتاده خارج گردد. پس از شست و شوی معکوس، افزایش فشار برگشت کاملاً مشخص است و اگر گیج فشار روی فیلتر نصب‌شده باشد، مشاهده می‌شود که فشار بیش از ۵/۰ بار بهبود می‌یابد.

سیلیس فیلترشنی:

سیلیس با درصد خلوص ۹۸ درصد با مشخصات ذیل به مخزن تحویل داده می‌شود.

مشخصات سیلیس
سیلیس با قطر سطح ۱۰/۵-۱/۵ میلی‌متر
سیلیس با قطر سطح ۲۳-۱/۵ میلی‌متر
سیلیس با قطر سطح ۳۵-۳ میلی‌متر
سیلیس با قطر سطح ۴۸-۵ میلی‌متر
ارتفاع کل سیلیس۱ متر
ضریب یکنواختی سیلیس در داخل فیلتر۱/۳۵
فیلتر شنی استخر – فیلتر صافی استخر – فیلتر شنی هایوارد – فیلتر شنی ایمکس – فیلتراسیون – فیلتر شنی

عایق و پوشش فیلتر شنی:

پوشش و عایق بیرونی صافی شنی شامل رنگ و عایق‌های صنعتی در سه لایه (با ضخامت ۲۷۵ میکرون) می‌باشد. عایق داخلی نیز از اپوکسی با ضخامت ۱۰۰ میکرون بر روی لایه ماسه‌زدایی شده تشکیل می‌شود.

نازل‌ها:

نازل‌های مورد استفاده در فیلترهای شنی زیست آب پژوهش از جنس برنج بوده و برای هر مترمربع از سطح، در حدود ۵۰ نازل تعبیه شده است که این نازل‌ها فرایند شستشو و تصفیه بهینه را فراهم می‌نمایند.

نازل فیلتر شنی

نحوه محاسبه ظرفیت فیلتر شنی و انتخاب محصول:

بهترین روش برای انتخاب و تعیین ظرفیت فیلتر شنی، تعیین و محاسبه نرخ جریان ورودی فیلتر و انتخاب مدل مناسب با استفاده از کاتالوگ‌های شرکت‌های سازنده است. مقدار پیش‌فرض برای سرعت فرایند فیلتراسیون در حدود gpm/ft2 7 می‌باشد. همچنین از فرمول‌های زیر نیز می‌توان بدین منظور استفاده نمود. مقدار بیشینه نرخ نفوذ (Qmax) برای فیلتر شنی از رابطه زیر محاسبه می‌شود.

فیلتراسیون

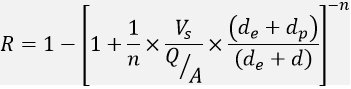
که در این رابطه، k، رسانایی هیدرولیکی دانه‌های شن بوده و برابر ۳۶۰۰ متر بر ثانیه فرض شده است. همچنین A نیز مساحت سطح فیلتر شنی بوده و برابر ۳۰ مترمربع در نظر گرفته می‌شود، پارامتر  نیز عمق پانداژ بالای فیلتر شنی بوده و برابر ۲/۰ متر در نظر گرفته می‌شود. همچنین  نیز عمق فیلتر شنی بوده و برابر ۶/۰ متر در نظر گرفته می‌شود. فیلتر شنی بایستی طوری طراحی شود که توان فیلتراسیون ذراتی با اندازه‌های ۱۲۵ میکرومتر را داشته باشد. قابلیت حذف آلاینده‌ها با استفاده از رابطه زیر تخمین زده می‌شود.

فیلترشنی

با انتخاب قطر فیلتر شنی، ظرفیت آن با تعیین تعدادی از پارامترهای ورودی مانند ارتفاع می‌تواند محاسبه و تعیین شود.

فیلتر شنی

جدول مشخصات فیلتر شنی | صافی شنی:

طراحی و محاسبه فیلتر شنی

عوامل متعددی در طراحی و ساخت فیلتر شنی تاثیرگذار هستند. یکی از این عوامل سرعت خطی آب است. به طور مثال سرعت خطی آب استخر در حدود ۲۰ متر در ساعت در نظرگرفته می شود. که این عدد نیز بسته به اختصاصی و یا عمومی بودن استخر متفاوت است. بطور معمول فرآیند تصفیه ردر زمان بین سه تا هفت ساعت انجام می شود.

فیلتر شنی استخر – فیلتر صافی استخر – فیلتر شنی هایوارد – فیلتر شنی ایمکس – فیلتراسیون – فیلتر شنی

فیلتر شنی برند ایمکس Emaux

یکی از برترین تولیدکنندگان فیلتر شنی فایبرگلاس است. این برند مشهور استرالیایی در سیستم های مختلف اعم از تصفیه استخرهای خانگی، خصوصی و استخرهای عمومی مورد استفاده قرار می گیرد. در فیلتر شنی تصفیه استخر ایمکس به دلیل برخورداری از دبی بالا، نسبت میزان عبور آب به سطح سیلیس و شن بالاست. با استفاده از این محصول بدلیل کیفیت و مرغوبیت آن کیفیت آب استخر بسیار ایده آل خواهد شد.  

حداکثر دمای مجاز در کلیه فیلتر های شنی ایمکس تا ۵۰ درجه سانتیگراد می باشد. سیستم فیلتر شنی استخر به افزایش دما حساس می باشد.  از همین رو در روی خطوط گرمایش از ترموستات و شیر برقی استفاده می شود.

فیلتر شنی ایمکس سری استخر در مدل های  Pو MFSو MFVو NL تولید می شوند. برای اطلاع از قیمت، مشاوره و خرید فیلتر شنی تصفیه استخر ایمکس از نمایندگی ایمکس در ایران، می توانید با کارشناسان ما در زیست آب پژوهش تماس حاصل فرمایید.

فیلتر شنی هایوارد HAYWARD

  • ساخت کشور آمریکا
  • دارای بدنه مقاوم از پلی اتیلن فشارقوی
  • فیلتر شنی هایوارد دارای استاندارد CE اروپا مناسب استخر و جکوزی
  • فیلتر شنی هایوارد دارای گارانتی و خدمات پس از فروش

راهنمای انتخاب فیلتر شنی هایوارد HAYWARD

  • فیلتر شنی هایوارد مخزنی است که با فشار حداکثر سه بار کار بوده و به همین منظور دارای گیج فشار است.
  • نیازمند به یک پمپ تصفیه جهت گردش آب استخر یا جکوزی و سیلیس دانه بندی شده است.
  • فیلتر شنی هایوارد دارای شیر پنج راهه جهت کار تصفیه و زدایش املاح معلق در آب سیرکوله استخر به کار می رود.
  • فیلترشنی باید در موتور خانه و پایین تر از سطح استخر نصب گردد.

جهت کسب اطلاع از قیمت انواع فیلتر شنی و مشاوره رایگان با مشاوران ما تماس بگیرید.
۰۲۱-۴۴۱۷۹۴۵۵

نوشته واردکننده فیلتر شنی ایمکس و هایوارد اولین بار در شرکت زيست آب پژوهش ®| پکیج تصفیه فاضلاب | شرکت تصفیه فاضلاب | تصفیه آب. پدیدار شد.

]]>
https://raymongroup.ir/%D9%81%DB%8C%D9%84%D8%AA%D8%B1-%D8%B4%D9%86%DB%8C-%D8%B5%D8%A7%D9%81%DB%8C-%D8%B4%D9%86%DB%8C/feed/ 0
تصفیه آب استخر https://raymongroup.ir/%25d8%25aa%25d8%25b5%25d9%2581%25db%258c%25d9%2587-%25d8%25a2%25d8%25a8-%25d8%25a7%25d8%25b3%25d8%25aa%25d8%25ae%25d8%25b1/?utm_source=rss&utm_medium=rss&utm_campaign=%25d8%25aa%25d8%25b5%25d9%2581%25db%258c%25d9%2587-%25d8%25a2%25d8%25a8-%25d8%25a7%25d8%25b3%25d8%25aa%25d8%25ae%25d8%25b1 https://raymongroup.ir/%25d8%25aa%25d8%25b5%25d9%2581%25db%258c%25d9%2587-%25d8%25a2%25d8%25a8-%25d8%25a7%25d8%25b3%25d8%25aa%25d8%25ae%25d8%25b1/#respond Mon, 06 Jul 2020 00:31:49 +0000 https://raymongroup.ir/?p=3390 سیستم تصفیه آب استخر شنا/ پکیج تصفیه آب استخر در آب استخر با توجه به کیفیت آن مجموعه ای از باکتری ها, نمک های محلول، ذرات معلق، چربی ها و … می باشد. از این رو تصفیه آب استخر برای حفظ سلامتی انسان و همچنین صرفه جویی در مصرف آب بسیار ضروری می باشد. سیستم […]

نوشته تصفیه آب استخر اولین بار در شرکت زيست آب پژوهش ®| پکیج تصفیه فاضلاب | شرکت تصفیه فاضلاب | تصفیه آب. پدیدار شد.

]]>
سیستم تصفیه آب استخر شنا/ پکیج تصفیه آب استخر

در آب استخر با توجه به کیفیت آن مجموعه ای از باکتری ها, نمک های محلول، ذرات معلق، چربی ها و … می باشد. از این رو تصفیه آب استخر برای حفظ سلامتی انسان و همچنین صرفه جویی در مصرف آب بسیار ضروری می باشد. سیستم تصفیه آب استخر یک سیستم مدار بسته بوده به این معنی که آب توسط پمپ ها وارد سیستم تصفیه شده و بعد از آن سیرکوله شده و مجددا به استخر باز می گردد. علاوه بر این همواره باید به دلیل تبخیر سطحی و همچنین تردد شناگران و تلفات آب، مقداری آب تازه به استخر ها اضافه شود.

تصفیه آب استخر

طبق استاندارد شماره ۹۴۱۲ موسسه استاندارد و تحقیقات صنعتی ایران ویژگی های میکروبیولوژی آب استخرهای شنا به صورت زیر می باشد:

حد مجاز تعداد باکتری های هتروتروف ۲۰۰ در هر میلی لیتر، اشرشیاکلی و کلیفرم های گرماپای کمتر از ۱ در هر ۱۰۰ میلی لیتر، استافیلوکوکوس ۵۰ در ۱۰۰ میلی لیتر، آنتروکوک روده ای ۱۰۰ در ۱۰۰ میلی لیتر و سودوموناس کمتر از ۱۰۰ میلی لیتر می باشد. اگر تعداد هر یک از این میکروب ها در آب استخر از حد مجاز عبور نماید باعث آلودگی و ایجاد بیماری خواهد شد. به همین دلیل در سیستم تصفیه آب استخر باید حتما عمل گندزدایی انجام شود.

تصفیه آب استخرهمچنین ویژگی های آب استخر که باید در تنظیم آنها توجه داشت نیز به اینگونه می باشد:

  • محدوده PH مناسب برای آب استخرهای شنا ۷.۲ تا ۸ می باشد.
  • کدورت آب استخر شنا نیز نباید از NTU 0.5 بیشتر باشد.
  • همچنین میزان کلر باقیمانده در آب استخر نیز باید بین ۱ تا ۳ میلی گرم در لیتر باشد.

تجهیزات تصفیه آب استخر

۱- اسکیمر:

تصفیه آب استخر-اسکیمر

اساس کار اسکیمر ها به اینگونه است که از ورود ذرات معلق و جامد موجود در آب استخر به سیستم لوله کشی و همچنین پمپ جلوگیری می نماید. زیرا در صورت ورود مواد معلق به شبکه لوله کشی باعث گرفتگی لوله ها و در صورت ورود به پمپ باعث آسیب و سوختن الکتروموتور خواهد شد.

اسکیمر ها دارای یک دریچه و یک سبد می باشند. معمولا در قسمت های عمیق و بر روی دیواره استخر ها نصب می شوند. قسمت اعظم مواد معلق موجود در آب توسط اسکیمر جداسازی می شود و باقی ذرات با ابعاد کوچکتر به وسیله فیلتر ها از جریان آب حذف می شوند.

همچنین علاوه بر اسکیمر برای جمع آوری سطحی آب می توان از گریل ها که اطراف استخر تعبیه می شوند, استفاده نمود.

معمولا ۷۰ درصد آب استخر به وسیله اسکیمر ها و ۳۰ درصد دیگر به وسیله کفشوی و از کف استخر وارد سیستم تصفیه می شوند. ۷۰ درصد آب خروجی آلودگی های سطحی می باشد که توسط اسکیمر و یا گریل منتقل می شود و ۳۰ درصد دیگر آلودگی های ته نشین شده در کف استخر می باشد.

تصفیه آب استخر-پمپ سیرکولاتور

۲- پمپ سیرکولاتور:

پمپ هایی که برای انتقال آب تا سیستم تصفیه استفاده می شود معمولا از نوع گریز از مرکز یا همان سانتریفیوژی بوده که باید جنس بدنه و پروانه آنها به گونه ای باشد که دچار خوردگی بوسیله کلر و سایر مواد نشوند. با توجه به ابعاد و حجم استخر و … انتخاب پمپ صورت می گیرد.

پمپ های سیرکولاتور وظیفه گردش آب در یک مسیر بسته را بر عهده دارند.از ویژگی های مهم پمپ سیرکولاتور داشتن هد پایین به دلیل گردش آب در سیستم تصفیه است. همچنین افت فشار ثقلی که برای آب در حال رفت ایجاد می شود، به وسیله آبی که در سیستم در مسیر برگشت قرار دارد جبران و خنثی خواهد شد.

این پمپ ها اغلب کم صدا بوده و برای استفاده در سیستم تصفیه آب استخر بسیار مناسب و کارآمد می باشند.

۳- سیستم فیلتراسیون استخر:

در سیستم فیلتراسیون از فیلترهای مختلفی مانند فیلتر شنی، کربنی، کارتریج و … استفاده می شود.

تصفیه آب استخر-فیلتر شنی

فیلتر شنی

فیلتر شنی نوعی تصفیه فیزیکی برای صاف کردن و جداسازی مواد معلق موجود در آب استخر با ابعاد ۲۰ تا ۵۰ میکرون می باشد. این فیلتر ها دارای مخازن با جنس بدنه کربن استیل با رنگ پوشش اپوکسی، استنلس استیل و … می باشند که درون مخزن، سیلیس با دانه بندی های مشخصی ریخته می شود.

در سیستم تصفیه آب استخر، آب از بالا وارد فیلتر شده و از لا به لای شن ها عبور می کند. هنگام عبور مواد و ذرات معلق و آلودگی ها در بین خلل و فرج شن ها باقی می ماند. به مرور زمان (با توجه به کیفیت و میزان مواد معلق آب استخر) سرعت عبور آب از بین دانه ها کاهش می یابد، به عبارتی خلل و فرج دانه ها مسدود می شوند. در این هنگام باید شستشوی معکوس انجام شود. منظور از شستشوی معکوس (Back wash) ایجاد جریان مخالف (از پایین به بالا) درون فیلتر می باشد. هنگامی که آب بر خلاف جریان همیشه درون فیلتر جریان می یابد دانه های سیلیس جا به جا شده و مواد معلق انباشته بین آنها شسته می شوند در نتیجه سرعت عبور آب مجددا به حد مطلوب خواهد رسید. شستشوی معکوس به سه صورت دستی، نیمه اتوماتیک و اتوماتیک انجام می شود.

همچنین همواره باید فاصله حدود ۵۰ سانتی متر در بالای فیلتر شنی نیز خالی باشد تا از سر ریز شدن و هدر رفت سیلیس به هنگام شستشو جلوگیری شود.

فیلترهای شنی برای سیستم تصفیه استخر با توجه به ابعاد و حجم آب استخر انتخاب خواهند شد.

تصفیه آب استخر-فیلتر کارتریج

فیلتر کارتریج

فیلتر کارتریج یا میکرونی برای حذف ذرات معلق با قطر ۱ تا ۲۰ میکرون در سیستم تصفیه آب استخر استفاده می شود. این فیلتر شامل هوزینگ و فیلتر می باشد. هوزینگ فیلتر کارتریج پوسته یا محفظه ای برای نگهداری فیلترها می باشد و فیلتر ها درون آنها قرار می گیرند. هوزینگ ها در جنس های استنلس استیل ۳۰۴، استنلس استیل ۳۱۶ و انواع پلی اتیلنی طراحی و ساخته می شوند.

انتخاب فیلتر کارتریج بر اساس میزان دبی انجام می شود. هر چه دبی استخر پایین تر باشد از هوزینگ با جنس پلی اتیلن و برای ظرفیت های بالاتر از هوزینگ با جنس استنلس استیل استفاده می شود.

۴- گندزدایی:

گندزدایی آب استخرها به وسیله کلر و ازن انجام می شود.

میزان گندزدایی آب بوسیله ازن تا حدود ۳۰۰۰ باز قوی تر از گندزدایی با کلر می باشد.

در مرحله گندزدایی باید عوامل مختلفی مانند PH، دما و میزان کلر موجود در آب را نیز اندازه بگیریم.

برای سنجش pH آب می توان از کیت سنجش استفاده کرد. این پارامتر در تعیین دوز تزریق مواد شیمیایی بسیار موثر می باشد. به عنوان مثال هنگامی که pH آب ۸ می باشد افزودن کلر تنها ۲۰ درصد خاصیت ضد عفونی کنندگی دارد در صورتی که در pH=7.4 افزودن کلر تا ۶۰ درصد خاصیت ضد عفونی کنندگی دارد. بنابراین در مرحله ضد عفونی کردن آب استخر باید عوامل مختلف را در نظر داشت و با توجه به آنها دوز محلول ضد عفونی کننده را انتخاب و تزریق نمود.

تصفیه آب استخر

همچنین هر چه تنظیم pH بهتر صورت بگیرد، میزان کلر باقیمانده آب و در نتیجه بوی ناشی از در محیط استخر آن کمتر خواهد بود.

گندزدایی آب استخر به وسیله ازن نیز انجام می شود. ازن ماده ای نا پایدار است و علاوه بر آن میکروب کس بسیار قوی به شمار می آید. از مزیت های آن نسبت به کلر می توان به این اشاره کرد که هیچگونه بوی نامطبوعی ندارد و همچنین در تماس با آب و پوست انسان سوزن و تحریک کنندگی پوستی را ایجاد نمی کند.

همچنین در مرحله نهایی باید توجه داشت که آب خروجی از سیستم تصفیه توازن شیمیایی وجود داشته باشد و در صورت نیاز مواد شیمیایی مختلفی مانند کات کبود، زاج و … و یا مبدل های حرارتی نیز به سیستم اضافه شود.

گروه صنعتی رایمون با بهره گیری از تجارب چندین ساله طراح و سازنده انواع سیستم های تصفیه آب استخر با بهترین کیفیت و مقرون به صرفه ترین قیمت می باشد.

جهت کسب اطلاع از قیمت پکیج های تصفیه آب استخر با ما تماس بگیرید.
۰۲۱-۴۴۱۷۹۴۵۵

مطالب مرتبط در زمینه تصفیه فاضلاب:

پکیج فاضلاب

تصفیه خانه فاضلاب

پکیج تصفیه فاضلاب

تصفیه فاضلاب

نوشته تصفیه آب استخر اولین بار در شرکت زيست آب پژوهش ®| پکیج تصفیه فاضلاب | شرکت تصفیه فاضلاب | تصفیه آب. پدیدار شد.

]]>
https://raymongroup.ir/%25d8%25aa%25d8%25b5%25d9%2581%25db%258c%25d9%2587-%25d8%25a2%25d8%25a8-%25d8%25a7%25d8%25b3%25d8%25aa%25d8%25ae%25d8%25b1/feed/ 0